- Stearate series
- · calcium stearate
- · Zinc stearate
- · Magnesium stearate
- · Sodium stearate
- · Potassium stearate
- · Lithium stearate
- · Aluminium stearate
- · Stearic acid
- MCC series
- · MCC CP2010
- · MCC PH101
- · MCC PH102
- · MCC PH105
- · MCC PH103
- · MCC PH112
- · MCC PH113
- · MCC PH200
- · MCC PH301
- · MCC PH302
- Colloid MCC series
- · Colloid MCC
- Acetylacetone salt series
- · Calcium(III) Acetylacetonate
- · Zinc(II) Acetylacetonate
- Oleate series
- · Sodium oleate
- · Potassium oleate
- Laurate series
- · Sodium laurate
- · Zinc laurate
- Myristate series
- · Magnesium myristate
- · Sodium myristate
- Water-based emulsion
- · Water-based zinc stearate em
Detail
Food additive
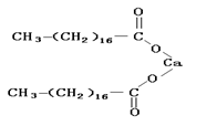
Molecular formula: Ca[CH3(CH2)16COO]2
CAS NO.:1592-23-0
Chemical structural formula:

Main uses
In tablet preparation, it is used as release agent.
|
Testing item |
Testing standard |
|
appearance |
white powder |
|
identification |
positive reaction |
|
loss on drying,w/% |
≤4.0 |
|
calcium oxide content,w/% |
9.0-10.5 |
|
free acid(in stearic acid),w/% |
≤3.0 |
|
lead content(Pb)/(mg/kg) |
≤2.00 |
|
microbial limit(Internal control indicators) |
|
|
bacteria, cfu/g |
≤1000 |
|
mould, cfu/g |
≤100 |
|
escherichia coli |
not detectable |
Packaging
woven bag lined with high pressure PE film; 20kg/bag or follow customer's packaging instruction
| 【Last】 【Next】 【Return】 |


